Impact of microclimatical terms on housing object for milking-cows K-96
Stefan Pogran , Lubos Moravcík, Slovak Agricultural University, Nitra, Slovakia
Content
Background
Current conversion to market mechanism in the Eastern europe countries puts the existing , unadequate housing objects, to the position of the economical inefficiency. That's a reason to increase the number of stalled cows trough rebuilding of housing objects and whole farms. We have to pay attention to important requirements like rational usage of investments aswell as we have to choose appropriate values of cowshed measurements to avoid a negative impact on necessary motional activities of the animals.
Introduction
Important factors like material and technical basis of building , economical and energetical aspects and existing liability to collapse result in the need for accurate examination of design solution and it's influence on indoor environment of housing objects. It is not really necessary to keep all standard values for designing objects. Changing some parameters may not have a negative impact on health and utility of keeping animals.
A typical representative of housing objects in Slovakia is cowshed K-96 (Fig. 1 , Fig. 2)

Fig.1 Cowshed for milking cows K-96

Fig.2 Cowshed for milking cows K-96 - cross section
For the typical housing object (cowshed K-96) indoor microclimatical measurements were caried out. Diagram below indicates microclimatical behavior of cowsheds selected.

Fig. 3 Existing measured values of interaction: indoor temperature - relative humidity
Based on the geometry and material properties there were prepared two models of roof structure with closed air gap. The models were created using program WUFI .


Fig. 4 WUFI-model of roof structure with straw insulation
Climate
During extreme winter conditions there were carried out continuous measurements of indoor environment in two typical K-96 cowsheds selected. It is important to aware that microclimatical conditions depends not only on building solution of objects , but on other aspects like removal of cows to dairy , ventilation process and storage of hay/straw in the garred part of cowshed.
Simulation results
By the comparison of two type-indentical K-96 housing objects a different thermal stability was investigated. Lonely animals using their biological heat-capacity are not able to heat the indoor air to normative or recommended values. In consequence of high relative humidity inside housing objects the fell of cow becomes damper. This matter of fact results in increasing of energy the cow has to expend for survival rather than for utility.
Following figures indicate the climat data defined within WUFI-program.

Fig. 5a Relative humidity and interior/exterior temperature for K-96 with straw insulation

Fig. 5b Relative humidity and interior/exterior temperature for K-96 model within straw insulation

Fig. 6a Heat flux for K-96 model with straw insulation

Fig. 6b Heat flux for K-96 model within straw insulation

Fig 7a Temperature and relative humidity in monitor positions for K-96 model with straw insulation

Fig 7b Temperature and relative humidity in monitor positions for K-96 model within straw insulation

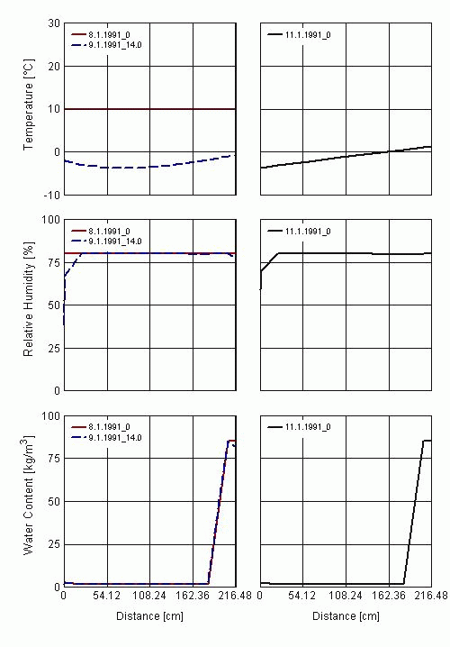
Fig 8a Temperature, relative humidity and water content of construction in given profiles for K-96 model with straw insulation

Fig 8b Temperature, relative humidity and water content of construction in given profiles for K-96 model within straw insulation

Fig 9a Film slide generated by WUFI for K-96 model with straw insulation

Fig 9b Film slide generated by WUFI for K-96 model within straw insulation
Conclusions
This study shows the importance of keeping operational discipline in the housing objects. It seems to be important to use a garret part of cowshed for storage of straw or hay or straw during colder period. However the reality is often opposite. Values like reative. humidity and indoor temperature calculated according to WUFI - program indicate a possible danger for cows.
.