MODELLING AND SIMULATION OF THE ENERGY USED IN
SCHOOL 12 in GABROVO - Bulgaria
Assoc. Prof. Dr. Nikola Kaloyanov
Technical University of Sofia
This case study presents results from the energy audit in School 12 in Gabrovo, Bulgaria, done under Project N UL/96/G31/A/1G/99 - Bulgarian Foundation for Energy Efficiency, March - June 1997 , by a team from the Department of Heating & Refrigeration of the Technical University of Sofia.
2.1. Description of the School
2.2. Building envelope
2.3. Heating and ventilating systems
2.4. Energy consumption
3.1. Preconditions
3.2. Zoning
3.3. Input data
3.4. Model Calibration
3.5. Normalised Baseline
4. Potential measures for energy conservation
4.1 Measures for rehabilitation of the normal operation
4.2. Energy Conservation Measures ('long list')
4.3. Energy Conservation Measures ('short list')
4.5. Sensitivity Analysis
5. Conclusion
The aim of the energy analysis was a technical evaluation of the energy conservation opportunities (ECOÆs) and selection of economically valuable measures.
The School 12 is treated as an integrated system comprising:
The following methods, techniques and procedures have been applied in the analysis:
Information Sources
The analysis works have the following sequence of activities:
Energy Analysis Participants
Project team:
1. Assoc. Prof. Dr. Nikola Kaloyanov, TU - Sofia, leader of the team
2. Assoc. Prof. DSc. Nikola Stoitchkov, TU - Sofia
3. Ass. Ivailo Banov, TU - Sofia
4. Gavril Georgiev, Mechanical Engineer , District Heating Ltd. Gabrovo
5. Dencho Denchev, Electrical Engineer , Gabrovo
and technical collaborators.
Consultant:
Mr. Andrew Popelka- ELECTROTEK CONCEPTS Inc., USA
2. Analysis of the Existing Situation
2.1. Description of the School
The School 12 was build up during 1983 and has seven interconnected buildings as shown in Fig. 2.1 and 2.1A, 2.1B. Its main parameters are shown in Table 2.1.
There are 30 ordinary classrooms, special classrooms, workshops, a library, a ceremonial hall, two gymnasiums, a swimming pool and canteen.
The School is connected to the district heating system of Gabrovo. There are four indirect substations supplying the local heating and DHW systems.
1045 pupils are educated in two shifts from 7.00 to 19.00 during the weekdays by 120 teachers and supporting staff.
The working time of the swimming pool is from 9.00 to 22.00 every day.
|
Table 2.1 |
|||
|
Block |
Build-up area |
All-out area |
Net building volume |
|
m2 |
m2 |
m3 |
|
|
1 |
515.89 |
1547.67 |
5107.31 |
|
3 |
506.3 |
2025.2 |
6683.16 |
|
6 |
235 |
295.97 |
1354.89 |
|
4 |
506.3 |
2025.2 |
6683.16 |
|
2 |
506.3 |
1012.6 |
3341.58 |
|
5 |
805.77 |
1362.4 |
5768.9 |
|
7 |
582.93 |
1165.86 |
5021.46 |
2.2. Building envelope
The major part of the outer walls consists of bricks ( 25 cm width and U-factor of 1.45 W/m2K).
The floors over unheated rooms consist of 20 cm armoured concrete slab, equalising layer and flooring according to the room function (U-value from 2.0 to 2.27 W/m2K).
The building ceilings consist of armoured concrete slab (20 cm), two layers of heat insulation and hydro-insulation with overall heat transfer coefficient U=0.645 W/m2K.
As a whole the outer walls, ceilings and roofs are in good condition and satisfy the existing standard requirements.
There are three types of windows:
The window inspection determined that about 65% of all double-glassed wooden frame one have broken glass sheets and frames.
2.3. Heating and ventilating systems
The central heating system of the School is organised in four loops, each of them supplied with heat by a separate indirect substation.
The substations have æshell and tubesÆ water-water heat exchangers. Two of them provide also the DHW needs of the School.
Since 1995 the heat supplied from the district heating system of Gabrovo is measured by heatmeters installed in each of the substations. Due to the non-proper venting of the system the radiators on the last floors do not operate.
There are ventilating systems installed in the swimming pool, the kitchen and in the canteen. The last two do not operate because for two years the kitchen and the canteen have not been in use. The swimming pool ventilating system with supply flow rate 6000 m3/h of air is used rarely because of the fact that there is no automatic control system. As a result considerable vapour condensation can be seen on the walls and windows, which destroys the building envelope.
Each one of the two gymnasiums (the big one and the small one) is provided with four exhaust axial fans with airflow rate resp. 5000 m3/h and 3500 m3/h.
2.4. Energy consumption
The real energy consumption estimation is made from the records of the heatmeters and electricity meters
a) Heating energy
The results of the heatmeters records are shown in:
b) Electrical energy
Table 2.4 presents the monthly consumption January 1995 to December 1996
c) Analysis
Table 2.2 Daily heatmeter readings
|
Day |
Ta |
SUB#1 |
SUB#2 |
SUB#3 |
SUB#4 |
|
oC |
MWh |
MWh |
MWh |
MWh |
|
|
5 .III |
5.70 |
925.03 |
716.75 |
593.82 |
418.23 |
|
6 .III |
3.50 |
926.00 |
718.00 |
594.00 |
419.00 |
|
7 .III |
7.40 |
929.00 |
719.88 |
596.23 |
421.07 |
|
8 .III |
2.90 |
930.63 |
721.19 |
597.23 |
422.97 |
|
9 .III |
3.30 |
932.00 |
722.50 |
598.20 |
423.10 |
|
10 .III |
1.65 |
935.00 |
724.00 |
600.00 |
426.00 |
|
11 .III |
1.30 |
937.00 |
426.00 |
601.00 |
427.00 |
|
Table 2.3 Monthly heat consumption |
|||||
|
Month |
Ta |
SUB#1 |
SUB#2 |
SUB#3 |
SUB#4 |
|
- |
oC |
MJ |
MJ |
MJ |
MJ |
|
XII.95 |
1.53 |
301045.30 |
245483.81 |
240961.85 |
218477.66 |
|
I.96 |
-3.12 |
500011.54 |
375364.55 |
291750.16 |
288442.43 |
|
II.96 |
-1.18 |
397430.04 |
303348.15 |
263990.35 |
256914.32 |
|
III.96 |
0.30 |
375657.64 |
296942.04 |
242846.00 |
240668.76 |
|
IV.96 |
8.21 |
187451.99 |
141101.90 |
115477.46 |
76747.71 |
|
XI.96 |
8.10 |
206921.54 |
175895.87 |
130173.83 |
125610.00 |
|
XII.96 |
1.70 |
406432.09 |
307283.93 |
251345.61 |
242846.00 |
|
I.97 |
-0.50 |
348777.10 |
273159.88 |
222874.01 |
47689.93 |
|
II.97 |
2.80 |
238407.78 |
222413.44 |
173927.98 |
158101.12 |
|
Table 2.4 Monthly electricity consumption |
|||||
|
Year |
Month |
Consumption |
Year |
Month |
Consumption |
|
kWh |
kWh |
||||
|
1995 |
1 |
26400 |
1996 |
1 |
31800 |
|
2 |
29400 |
2 |
40200 |
||
|
3 |
27000 |
3 |
34200 |
||
|
4 |
24600 |
4 |
14400 |
||
|
5 |
14400 |
5 |
14400 |
||
|
6 |
12600 |
6 |
33600 |
||
|
7 |
4260 |
7 |
18600 |
||
|
8 |
2940 |
8 |
6300 |
||
|
9 |
4200 |
9 |
6300 |
||
|
10 |
15000 |
10 |
6000 |
||
|
11 |
23400 |
11 |
33000 |
||
|
12 |
32400 |
12 |
25800 |
||

Fig.2.2

Fig.2.3
3.1. Preconditions
The building energy modelling is made with ASEAM 3.0 program as required in the Project.
3.2. Zoning
The building zoning has been done using the following criteria:
The seven buildings, as shown in Fig. 2.1, are divided in four groups according to the heat supply from the four substations (SUB). Taking into account the above mentioned criteria, each one of the groups are divided in zones as follows:
3.3. Input data
The input data files are created according to the requirements of ASEAM 3.0.
The calibration of the model is made according to the real heat consumption in the four substations registered with the heatmeters for the period from December 1995 to February 1997 and the real mean temperatures for the respective periods. In connection with the occupancy if the buildings and the presence or lack of DHW in the respective substation, some of the measured data are not used. The model baselines are obtained in two versions:
The last climatic data were used because of the partly coincidence on time with the real measurements.
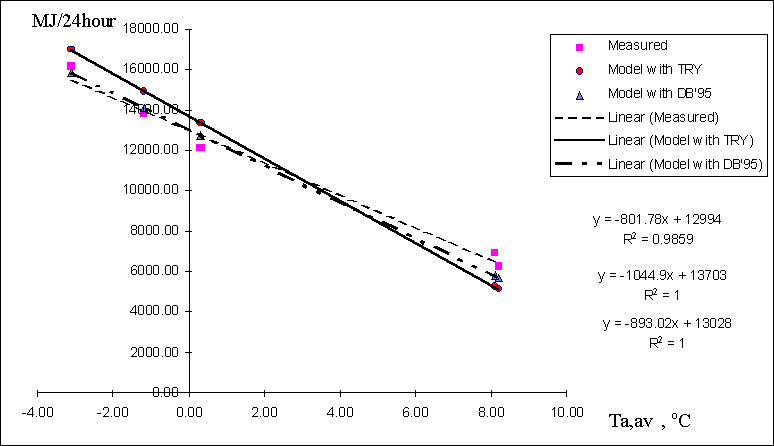
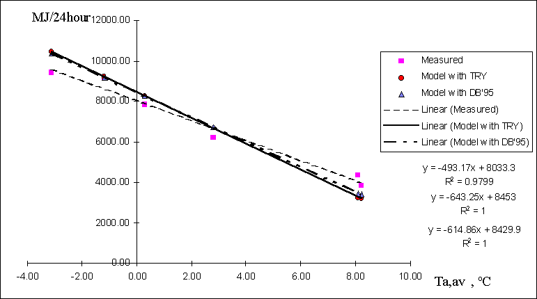
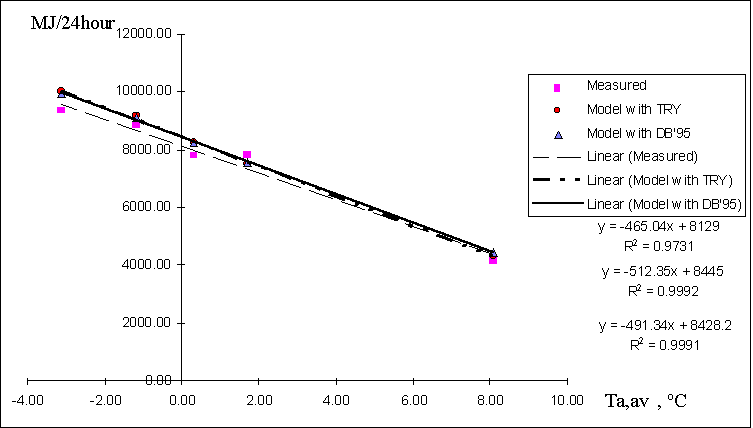
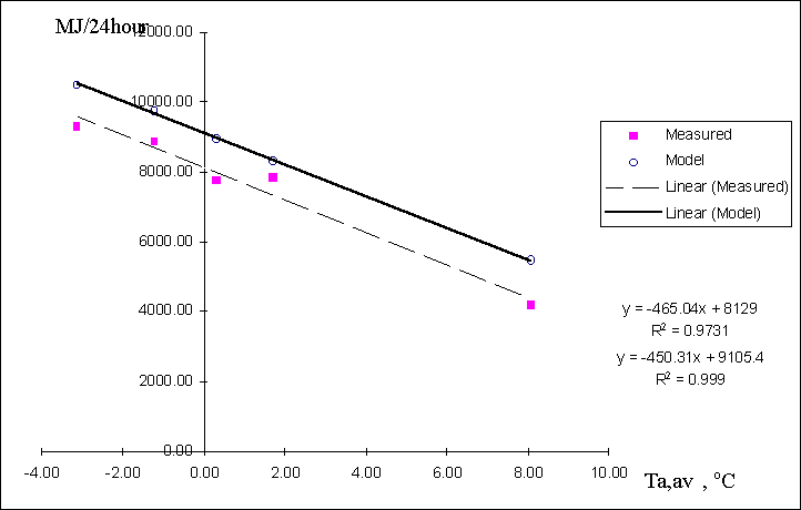
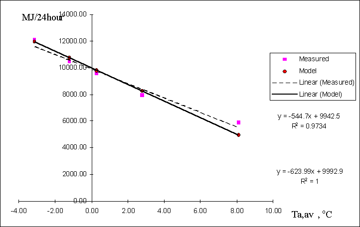
The good coincidence of the model consumption in the two versions and the real consumption, shown in Fig. 3.1-3.4, is a sufficient prove of the adequateness of the model.
|
MODEL CALIBRATION Block 3_6_1 |
|||||||
|
Month |
Day num. |
Ta,av |
Measured |
Model (TRY) |
Deviation |
Model (DB'95) |
Deviation |
|
- |
- |
o C |
MJ/24 hours |
MJ/24 hours |
% |
MJ/24 hours |
% |
|
I.96 |
31 |
-3.12 |
16129.40 |
16963.47 |
-5.17 |
15814.35 |
1.95 |
|
II.96 |
29 |
-1.18 |
13704.48 |
14936.35 |
-8.99 |
14081.90 |
-2.75 |
|
III.96 |
31 |
0.30 |
12117.99 |
13389.88 |
-10.50 |
12760.24 |
-5.30 |
|
IV.96 |
30 |
8.21 |
6248.40 |
5124.65 |
17.98 |
5696.49 |
8.83 |
|
XI.96 |
30 |
8.10 |
6897.38 |
5239.59 |
24.04 |
5794.72 |
15.99 |
|
Average , % |
3.47 |
Average , % |
3.74 |
||||

|
To, meas = |
16.21 |
o C |
|
To, model = |
14.59 |
o C |
Fig.3.1
|
MODEL CALIBRATION Block 4 |
|||||||
|
Month |
Day num. |
Ta,av |
Measured |
Model (TRY) |
Deviation |
Model (DB'95) |
Deviation |
|
- |
- |
o C |
MJ/24 hours |
MJ/24 hours |
% |
MJ/24 hours |
% |
|
I.96 |
31 |
-3.12 |
12108.53 |
12576.91 |
-3.87 |
12503.80 |
-3.26 |
|
II.96 |
29 |
-1.18 |
10460.28 |
11292.41 |
-7.96 |
11264.80 |
-7.69 |
|
III.96 |
31 |
0.30 |
9578.78 |
10312.49 |
-7.66 |
10319.59 |
-7.73 |
|
XI.96 |
30 |
8.10 |
5863.20 |
5148.02 |
12.20 |
5338.06 |
8.96 |
|
II.97 |
28 |
2.80 |
7943.34 |
8657.21 |
-8.99 |
8722.95 |
-9.81 |
|
Average , % |
-3.25 |
-3.91 |
|||||

|
To, meas = |
18.25 |
o C |
|
To, model = |
16.46 |
o C |
Fig.3.2
|
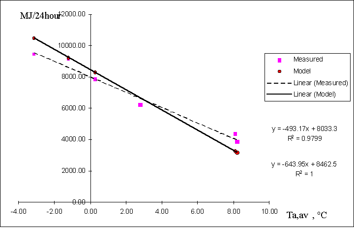
MODEL CALIBRATION Block 2_5 |
|||||||
|
Month |
Day num. |
Ta,av |
Measured |
Model (TRY) |
Deviation |
Model (DBÆ95) |
Deviation |
|
- |
- |
o C |
MJ/24 hours |
MJ/24 hours |
% |
MJ/24 hours |
% |
|
I.96 |
31 |
-3.12 |
9411.30 |
10459.94 |
-11.14 |
10348.29 |
-9.96 |
|
II.96 |
29 |
-1.18 |
9103.12 |
9212.04 |
-1.20 |
9155.46 |
-0.58 |
|
III.96 |
31 |
0.30 |
7833.74 |
8260.04 |
-5.44 |
8245.48 |
-5.26 |
|
IV.96 |
30 |
8.21 |
3849.25 |
3171.96 |
17.60 |
3381.96 |
12.14 |
|
XI.96 |
30 |
8.10 |
4339.13 |
3242.72 |
25.27 |
3449.59 |
20.50 |
|
II.97 |
28 |
2.80 |
6211.71 |
6651.92 |
-7.09 |
6708.33 |
-7.99 |
|
Average , % |
3.00 |
1.48 |
|||||

|
To, meas = |
16.29 |
o C |
|
To, model = |
13.71 |
o C |
Fig.3.3
|
MODEL CALIBRATION Block 7 |
|||||||
|
Month |
Day num. |
Ta,av |
Measured |
Model (TRY) |
Deviation |
Model (DB'95) |
Deviation |
|
- |
- |
o C |
MJ/24 hours |
MJ/24 hours |
% |
MJ/24 hours |
% |
|
I.96 |
31 |
-3.12 |
9304.59 |
10006.98 |
-7.55 |
9924.66 |
-6.66 |
|
II.96 |
29 |
-1.18 |
8859.11 |
9156.50 |
-3.36 |
9114.94 |
-2.89 |
|
III.96 |
31 |
0.30 |
7763.51 |
8251.03 |
-6.28 |
8240.55 |
-6.14 |
|
XI.96 |
30 |
8.10 |
4187.00 |
4306.77 |
-2.86 |
4460.16 |
-6.52 |
|
XII.96 |
31 |
1.70 |
7833.74 |
7532.22 |
3.85 |
7551.15 |
3.61 |
|
Average,% |
-5.01 |
-5.56 |
|||||

|
To, meas = |
17.48 |
o C |
|
To, model = |
17.15 |
o C |
Fig.4.4
The existing heat supply does not cover against the normal indoor air parameters. This is the reason for a lower annual heat consumption estimated with the calibrated model. This energy consumption cannot be used as a base for the energy saving potential estimation.
The normal annual heat consumption is estimated with the model using as input data the normal indoor air parameters, considering :
The results from these procedures are shown in Fig. 3.5-3.8.
It was established that the normal annual heat consumption would be smaller with 8.23% (buildings 3.6.1), 1.68% (building 4), 2.8% (buildings 2,5) and bigger with 17% (only for building 7) than the calculated with the model when the real indoor temperatures and the existing conditions were used as input data.
With the normalised baselines a new ratio of the base energy consumption components - 89%-11% was estimated (Fig.3.9).


Fig.3.9
The components of the peak heat losses (Fig. 3.10 , 3.11, 3.12 and 3.13) show an essential share of the infiltration of outdoor air and of the heat transfer through windows and outer walls.
The generalised indexes for energy consumption are computed on the base of the simulations and are shown in Table 3.1.
|
Table 3.1 |
|||
|
No |
Index |
Value |
|
|
1 |
Design heat transfer losses, W/m3, ( BTU/(h.m3) ), |
14.090 |
( 48.08 ) |
|
2 |
Design infiltration heat losses, W/m3 , ( BTU/(h.m3) ) |
8.440 |
( 28.78 ) |
|
3 |
Annual heat consumption |
||
|
per m3, kWh/m3 , ( MBTU/ m3 ) |
42.490 |
( 0.145 ) |
|
|
per m2, kWh/m2 , ( MBTU/ m2 ) |
179.940 |
( 0.614 ) |
|
|
per m3 and Degree Day, kWh/m3.DD , ( MBTU/ m3.DD ) |
14.140 |
( 48.248 ) |
|
|
per m2 and Degree Day, kWh/m2.DD , ( MBTU/ m2.DD ) |
59.865 |
( 204.27 ) |
|
|
4 |
Total installed power per m2 , W/m2 |
15.980 |
|
|
5 |
Installed power for lighting , W/m2 |
12.642 |
|
4. Potential measures for energy conservation
4.1. Measures for rehabilitation of the normal operation of the system
The measures are as follows:
4.2. Measures for energy conservation (ælong listÆ)
Energy conservation measures are determined as a result of the energy consumption in normal condition analysis. The potential of the measured is computed by simulation with ASEAM 3.0 . After sifting out the significant measures, they are evaluated on the base of the received offers and the given by the Assignor information for the prices of heating and electrical energy.
The measures are separated in three main groups:
which form the ælong listÆ.
The measures are evaluated according to the index SPB and the results are shown in Table 4.1.
4.3. Measures for energy conservation (æshort listÆ)
After the analysis of the ælong listÆ measures and combinations of them, according to the following criteria
five single and combined measures are proposed.
These measures are as follows:
The energy saving potential of the combined measures is evaluated by their simulation with ASEAM 3.0.
An economical evaluation of the measures in 4.3 is done on the base of the indexes NPV, NPVI, SPB and IRR.
Some of the results are shown in Table 4.2
4.5. Sensitivity analysis
With a view to evaluation of proposed measures, a sensitive analysis of the main index NPV is made, as a function of the following factors:
The factors are varied in a variation range [-60%, +60%]. The results of the analysis are shown in Fig. 4.1 and Fig. 4.2.
It is very clearly seen, that the solutions have NPV-values significantly over the zero (critical) value and practically the risk to be made mistake by their evaluation or unpredicted change of factors in the investigated interval is zero.
5. Conclusion
From the results obtained by the analysis, the following basic conclusions can be made: