Introduction
The purpose in conducting climate analysis was to attempt to characterise the wind behaviour in an ‘Urban Climate’ environment as found on the roof of the James Weir building. This data would be useful when trying to estimate energy yield from a wind turbine project.
High frequency wind speed and direction measurements were taken in order to monitor turbulence.
Local climate data (averaged every half an hour) was collected from Glasgow airport.
In the following graph we can see the fluctuation of wind as measured at Glasgow Airport :

The difference in the fluctuation of wind speed and the kind of data available from Glasgow airport and the roof of James Weir building is obvious if we compare the previous graph with the one that follows. Below is shown the fluctuation of wind speed in James Weir building roof over a 12 hour period:
Also the wind direction is measured in respect to degrees form north as shown in table 1 :

The magnitude of changes in wind direction on the roof of the James Weir building can be observed from the representation below:

The model followed for the analysis of the collected wind data is based on the DWT model described by Dr Nick Kelly and Dr Andy Grant, University of Strathclyde .
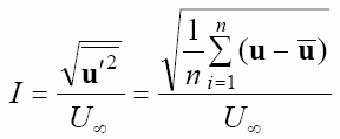
The equation used to calculate turbulent intensity is the one that follows:
![]()
Where: u is the instantaneous value of wind velocity
ū is the mean velocity
n is the number of samples in a data set
U∞ is the mean velocity over all sets of data
Results
Here is a sample of the actual distribution of wind speeds – looks like a Normal, (but could be Rayleigh or weibull – further investigation required).:
Also – part of our data analysis included a look into how TI varies as the average wind speed increases. This graph confirms that as the velocity of wind increases the TI will reduce
![]()